Номер элемента последовательности

Форум для изучающих FPC и их учителей.

Модератор: Модераторы

Номер элемента последовательности

Сообщение lefok » 25.11.2015 18:46:36

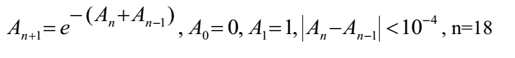
Вычисляет и распечатывает наименьший номер элемента последовательности, заданной рекуррентной формулой, для которого выполняется указанное условие. Решить через оператор цикла repeat. В ответе должно выдавать n=18. Заранее премного благодарен)
Вложения
формула.png
формула.png (8.68 КБ) Просмотров: 7205
lefok
незнакомец
 
Сообщения: 1
Зарегистрирован: 25.11.2015 18:44:59

Re: Номер элемента последовательности

Сообщение скалогрыз » 25.11.2015 22:23:23

как-то так:
Код: Выделить всё
var
  a: array [0..18] of double;
  n: integer;
  l: double;
  k: integer;
begin
  l:=0.0001;
  a[00]:=  0.00000000000000E+000;
  a[01]:=  1.00000000000000E+000;
  a[02]:= -6.32120558828558E-001;
  a[03]:= -1.13233061127860E-001;
  a[04]:=  2.81941020615917E-001;
  a[05]:= -8.33022050451348E-002;
  a[06]:= -8.16611613215463E-002;
  a[07]:=  6.66507386084830E-002;
  a[08]:=  6.62831203532671E-003;
  a[09]:= -3.14362021980031E-002;
  a[10]:=  1.03855299294517E-002;
  a[11]:=  9.01695170528683E-003;
  a[12]:= -8.31778610778916E-003;
  a[13]:= -2.96728114754286E-004;
  a[14]:=  3.67053668671502E-003;
  a[15]:= -1.44130562648503E-003;
  a[16]:= -9.49672647367173E-004;
  a[17]:=  1.01866083833069E-003;
  a[18]:= -2.94261095692416E-005;
  n:=-1;
  k:=18;
  repeat
    if (a[k]<l) and ((n<0) or (n<k)) then n:=k;
    dec(k);
  until k>0;
  writeln('n = ', n);
end.

:mrgreen:
причём и на мат и на физ факультетах прокатит! а вот на факультете информатики наврят ли :mrgreen:
скалогрыз
долгожитель
 
Сообщения: 1803
Зарегистрирован: 03.09.2008 02:36:48


Вернуться в Обучение Free Pascal

Кто сейчас на конференции

Сейчас этот форум просматривают: нет зарегистрированных пользователей и гости: 1